Lorem ipsum dolor sit amet

la Forza Motrice, data dal prodotto tra la massa e l’accelerazione dell’atleta che si appresta a saltare, diretta in avanti.
La Forza di Attrito, che permette all’atleta di fare presa sul terreno, che si oppone al movimento in avanti ed è pertanto diretta all’indietro. La Forza di Attrito si calcola moltiplicando la Forza Normale (con N = - P) per il coefficiente di attrito, un numero variabile da 0 (attrito nullo) a 1 (attrito totale). 

    
  

Analisi delle forze orizzontali

Forze variabili

Forze in gioco

Verso l'alto agisce la reazione vincolare del pavimento al peso dell'atleta e la spinta che l'atleta imprime per salire.
Verso il basso agisce il peso dell'atleta,
In avanti è orientata la rincorsa dell'atleta prima dello stacco.
All'indietro l'attrito del tappeto che permette alle scarpe di far presa senza scivolare.
Le forze verticali sono il peso dell'atleta orientato in basso e la reazione vincolare del pavimento e la spinta orientate in alto.
Sono quattro le forze che entrano in gioco quando un atleta esegue un salto e sono orientate "a croce".

Il peso dell'atleta, la reazione vincolare e l'attrito rimangono costanti durante l'esecuzione.
Pertanto per migliorare il salto si può agire soltanto su rincorsa, spinta e angolo di salto. 

Lo stacco nei salti: velocità e angolo

Le sole forze variabili sono la spinta verso l'alto e la forza motrice. E' variaboile anche l'angolo di stacco.

Per calcolare il peso dell’atleta si utilizza la seconda legge della dinamica F=ma nella forma P=mg: il peso è una forza alla quale un corpo di massa m è sottoposto a causa dell’accelerazione di gravità, che sulla terra è 9,8 m/s^2. 
Pertanto il peso si calcola in Newton come tutte le forze (è errato calcolare il peso in kg, il kg è l’unità di misura della massa); un atleta di 70 kg di massa pesa = 686 N.
La forza Normale è equivalente al peso solo rivolta nel verso opposto. L'unica forza in salita che incide è dunque la spinta.

con l’aiuto dell’algebra vettoriale esse possono essere rappresentate da cinque vettori. Vediamo prima quelli orizzontali.

Analisi delle forze verticali

 
 
 
 

Lorem ipsum dolor sit amet

Facendo l’ultimo passo lungo, allo stacco la velocità cala oltre il 30% (è minore), l’angolo di salto è maggiore, la spinta grava sui glutei (estensori dell’anca) e la parabola di volo è più alta.
Conviene pertanto eseguire l’ultimo passo spingendo con il baricentro posizionato dietro il piede: la corsa non deve essere con il petto in avanti per non portare il baricentro davanti al piede.

Angolo di salto e rincorsa

Risultanti orizzontale e verticale

La risultante orizzontale si ottiene sottraendo alla Forza motrice (orientata in avanti) la forza di attrito (orientata all'indietro).
Pertanto Rx = m x a - μ x N.
La risultante verticale è data inizialmente dalla spinta in quanto peso e reazione vincolare si annullano a vicenda mentre l'atleta è a terra, dunque F = F sin α perchè la componente verticale della spinta è l'unica che influisce sulla salita (è determinante pertanto l'angolo di stacco da terra). A questa va sottratto il peso (che agisce verso il basso) una volta che l'atleta è in aria.

Facciamo un semplice esperimento di calcolo vettoriale partendo da due componenti (orizzontale e verticale) di 1 e un angolo di 45°
Per calcolare le risultanti orizzontale e verticale bisogna fare la somma delle forze ricordando che alcune sono orientate in versi opposti.

Dal punto di vista biomeccanico la Forza Motrice è determinata dalle Forze Muscolari (interne) e dalla posizione del Centro di Massa nel momento dello stacco. Le Forze Muscolari sono Forze interne ed agiscono per aumentare la Forza Normale (vale a dire la pressione contro il pavimento) e la Forza motrice, cioè quella che determina il movimento in avanti. 
Naturalmente l'altezza va privilegiata rispetto alla lunghezza pertanto l'angolo di salto va privilegiato rispetto alla velocità di rincorsa.


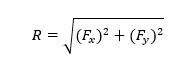
La risultante finale è decisiva per la qualità del salto e ri trova applicando il Teorema di Pitagora

Aumentiamo la componente x (rincorsa del 30%) e diminuiamo l'angolo di altrettanto facendolo diventare di 31,5 gradi. Applicando la trigonometria la componente verticale, quella che permette di salire diminuisce da 1 a 0,79.
Facciamo il contrario: diminuiamo la rincorsa del 30% passando a 0,7 e aumentiamo l'angolo del 30% passando a 58,5°. Applicando la trigonometria la componente verticale passa da 1 a 1,14. L'angolo dunque prevale sulla rincorsa
Dal punto di vista del calcolo vettoriale, la preparazione al salto risulta ottimale se la Forza Risultante è direzionata con un angolo prossimo ai 45 gradi rispetto al pavimento;

Risultante finale

Privilegiare l'angolo